Oswaldo Karam Macia | La regla de 3 en los negocios
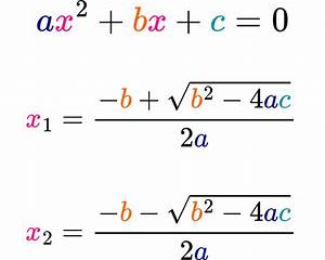
Para un profesional como Oswaldo Karam Macia, cuya trayectoria como CFO en Empresas La Floresta y su visión estratégica han estado cimentadas en el análisis cuantitativo, la regla de tres no es solo una operación aritmética de primaria; es la herramienta fundamental de proporcionalidad que permite proyectar escenarios y tomar Leer más





